Skip to content

[LeetCode] 19. Remove Nth Node From End of List

Published: at 06:46 AM (2 min read)

Table of Contents

Open Table of Contents

Description

Given the head of a linked list, remove the nthn^{th} node from the end of the list and return its head.

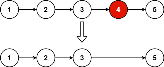
Example 1:

LeetCode 19. Remove Nth Node From End of List

Input: head = [1,2,3,4,5], n = 2
Output: [1,2,3,5]

Example 2:

Input: head = [1], n = 1
Output: []

Example 3:

Input: head = [1,2], n = 1
Output: [1]

Constraints:

Follow up: Could you do this in one pass?

Approach

We can traverse the linked list to store all nodes in an array. Then, we can easily access the node to be removed by its index. And finally, we can connect the previous node to the next node of the one to be removed.

Solution

/**
 * Definition for singly-linked list.
 * function ListNode(val, next) {
 *     this.val = (val===undefined ? 0 : val)
 *     this.next = (next===undefined ? null : next)
 * }
 */
/**
 * @param {ListNode} head
 * @param {number} n
 * @return {ListNode}
 */
var removeNthFromEnd = function (head, n) {
  // nodes array stores all nodes of the linked list
  let currentNode = head,
    nodes = [];

  // Traverse the linked list and push each node into nodes array
  while (currentNode) {
    nodes.push(currentNode);
    currentNode = currentNode.next;
  }

  // Determine the node to remove, which is the nth node from the end
  let nodeToRemove = nodes[nodes.length - n];
  // Determine the node before the one to remove
  let previousNode = nodes[nodes.length - n - 1];

  // If previousNode is undefined, it means nodeToRemove is the head node
  if (!previousNode) return nodeToRemove.next;

  // Connect previousNode with the node after nodeToRemove
  previousNode.next = nodeToRemove.next;

  return head;
};

Complexity Analysis

Time Complexity

The time complexity is O(sz)O(sz), where szsz is the number of nodes in the linked list. This is because we traverse the entire list to store the nodes in an array and then access the node to be removed.

Space Complexity

The space complexity is O(sz)O(sz), where szsz is the number of nodes in the linked list. This is due to the storage of all nodes in an array.


Previous Post
[GCP] 如何刪除與 Dialogflow 相關的專案 (Unable to delete project)
Next Post
[Tool] yt-dlp 常用的影片類型與下載工具指令應用指南